Türkiye Futbol Federasyonu, 2023-2024 sezonu Ara Transfer dönemi harcama limitlerini duyurdu.
Kulüp Lisans Kurulu, 2023-2024 Sezonu Süper Lig Takım Harcama Limitleri'ni ikinci transfer ve tescil dönemi ile ilgili olarak belirledi.
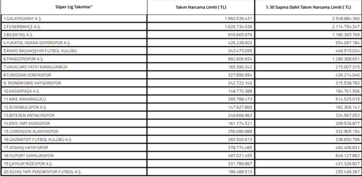
En fazla limit Galatasaray ve Fenerbahçe'de
Süper Lig kulüplerinin ikinci transfer ve tescil dönemi ile ilgili olarak, Kulüp Lisans ve Finansal Sürdürülebilirlik Talimatı'nın 121. maddesi kapsamında Ek XIII/G fıkrasınca belirlenen Takım Harcama Limitleri şöyle:
1. Galatasaray 1.960.526.431 2.548.684.360
2. Fenerbahçe 1.626.734.036 2.114.754.247
3. Beşiktaş 915.665.976 1.190.365.769
4. Adana Demirspor 426.228.603 554.097.184
5. Başakşehir 343.473.095 446.515.024
6. Trabzonspor 992.606.654 1.290.388.651
7. Fatih Karagümrük 165.390.242 215.007.315
8. Konyaspor 327.856.954 426.214.040
9. Kayserispor 242.722.140 315.538.782
10. Kasımpaşa 149.770.389 194.701.506
11. Ankaragücü 395.788.473 514.525.015
12. İstanbulspor 147.927.800 192.306.141
13. Antalyaspor 249.666.963 324.567.052
14. Sivasspor 161.174.521 209.526.877
15. Alanyaspor 256.080.888 332.905.154
16. Gaziantep FK 260.500.613 338.650.796
17. Hatayspor 378.774.485 492.406.831
18. Samsunspor 497.021.455 646.127.892
19. Rizespor 331.789.867 431.326.82
