Türkiye'de otomobil ve hafif ticari araç satışları, ocak-ağustos döneminde 2019'un aynı dönemine kıyasla yüzde 68,4 artarak 403 bin 2'ye ulaştı
Koronavirüs nedeniyle oldukça zor durumda kalan otomobil pazarı, normalleşme dönemi ve açıklanan kredi destek paketiyle yeniden canlanmıştı.
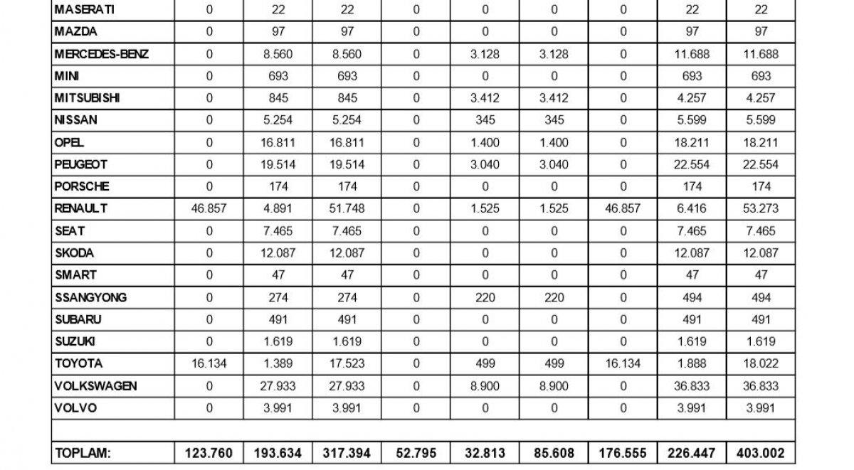
Otomotiv Distribütörleri Derneği (ODD) tarafından yapılan açıklamaya göre, Türkiye'de otomobil ve hafif ticari araç satışları, Ocak-Ağustos 2020'de geçen yılın aynı dönemine kıyasla yüzde 68,4 artarak 403 bin 2 düzeyinde gerçekleşti. Toplam pazarda geçen yılın ilk 8 ayında 239 bin 317 satış yapılmıştı.
Bu yılın ilk 8 ayında 2019'un aynı dönemine göre otomobil satışları yüzde 64,2 artarak 317 bin 394, hafif ticari araç satışları ise yüzde 86,1 yükselerek 85 bin 608 düzeyinde gerçekleşti.

AĞUSTOSTA 61 BİN ARAÇ SATILDI
Toplam pazarda ağustos ayında ise 61 bin 533 araç satıldı. Bu rakam geçen yılın ağustos ayında 26 bin 246 düzeyinde gerçekleşirken, bu da otomobil ve hafif ticari araç pazarının yüzde 134,4 büyüdüğünü ortaya koydu.
Satışlar, ağustosta bir önceki yılın aynı ayına göre de otomobilde yüzde 106 artarak 44 bin 372'ye, hafif ticari araçta yüzde 265 yükselerek 17 bin 161'e yükseldi.
Son 10 yıllık ağustos ayı ortalama satış rakamlarına bakıldığında, otomobil ve hafif ticari araç pazarının yüzde 4,1'lik, otomobil pazarının yüzde 1,3'lük ve hafif ticari araç pazarının yüzde 12,5'lik büyüme kaydettiği görüldü.
OCAK - AĞUSTOS DÖNEMİNDE EN ÇOK SATAN OTOMOBİLLER

