Bilim insanları, Pfizer/BioNTech'in koronavirüs aşısının obez insanlarda daha az etkili olabileceği konusunda uyardı.
Konuyla ilgili çalışma yapan İtalyan araştırmacılar, obez kişilerin koronavirüsten korunmaları için başka bir tamamlayıcı aşıya veya daha yüksek dozlara ihtiyaç duyabileceklerini söyledi.
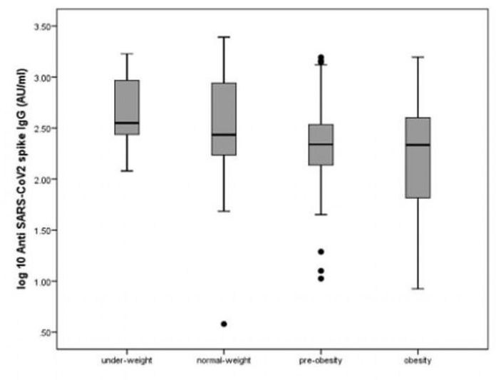
KİLOLU İNSANLARDA DAHA DÜŞÜK ANTİKOR ÜRETİLİYOR
Aşırı kilolu sağlık çalışanlarının, sağlıklı insanlara kıyasla iki doz aşı aldıktan sonra koronavirsü savuşturmak için antikorların yalnızca yarısını ürettiği ortaya çıktı.
Araştırmacılar, ciddi derecede fazla kilolu insanların enfeksiyon kapmaları halinde kritik şekilde hastalanma veya ölme riskinin daha yüksek olduğunu düşünüyor. Diyabet ve yüksek tansiyon gibi etkenlerin bu riski daha da artırabileceğine dikkat çekiliyor.

ORTAYA ÇIKAN SONUÇLAR
Çalışmada 248 katılımcıya, Roma'da iki doz Pfizer/BioNTech'in aşısı uygulandı.
İkinci dozun uygulanmasından 7 gün sonra kandaki antikor seviyeleri analiz edildi.
Sonuçlar, normal kiloda olanların antikor konsantrasyonunun yüksek olduğunu (325.8), obez olanların ise bu düzeyin yarısına (167.1) sahip olduğunu gösterdi.
Obez insanlardaki konsantrasyon verisiyle ilgili daha fazla çalışmaya ihtiyaç duyulabileceği kaydedildi.

"ŞAŞIRTICI DEĞİL"
Reading Üniversitesi'nden Virolog Ian Jones, ortaya çıkan sonuçların şaşırtıcı olmadığını söyledi.
Jones, obez insanlarda aşıların daha az etkili olduğunun 'genel bir bulgu' olduğunu sözlerine ekledi.
Uzmanlara göre, "fazladan ağırlık taşımak", bağışıklık sisteminin işlevini bozmasına neden olabiliyor.