Dar ve orta gelirli vatandaşları ev sahibi yapmaya devam eden Toplu Konut İdaresi Başkanlığı (TOKİ), Aralık ayı için yeni konut projelerini duyurdu.
Bu kapsamda, Türkiye’nin dört bir yanında uygun fiyatlı daireler satışa çıkıyor.
Kampanya, Bilecik, Elazığ, Gaziantep başta olmak üzere birçok ilde başlatılırken, vatandaşlar kira öder gibi ev sahibi olabilecek.
TOKİ, bu kampanya kapsamında 7.789,50 TL’den başlayan taksitlerle 2+1 ve 3+1 daireler sunuyor.
İşte yeni TOKİ konut satışının yapılacağı bölgeler…

TUNCELİ'DE TOPLU KONUT SATIŞI BAŞLIYOR
Toplu Konut İdaresi Başkanlığı (TOKİ), Tunceli’nin Mazgirt ilçesi Eltihatun Mahallesi’nde inşa ettiği yeni konut projesini duyurdu.
118 dairelik projede 54 konut tamamlandı ve satışa hazır hale getirildi. 2+1 ve 3+1 seçenekleriyle satışa çıkacak olan bu konutlar, uygun ödeme koşullarıyla dikkat çekiyor.
Yüzde 10 peşinat ödeyerek ev sahibi olmak isteyenler, kalan borcu 120 aya kadar vade seçeneğiyle ödeyebilecek. Başvuru için son tarih ise 3 Aralık 2024.
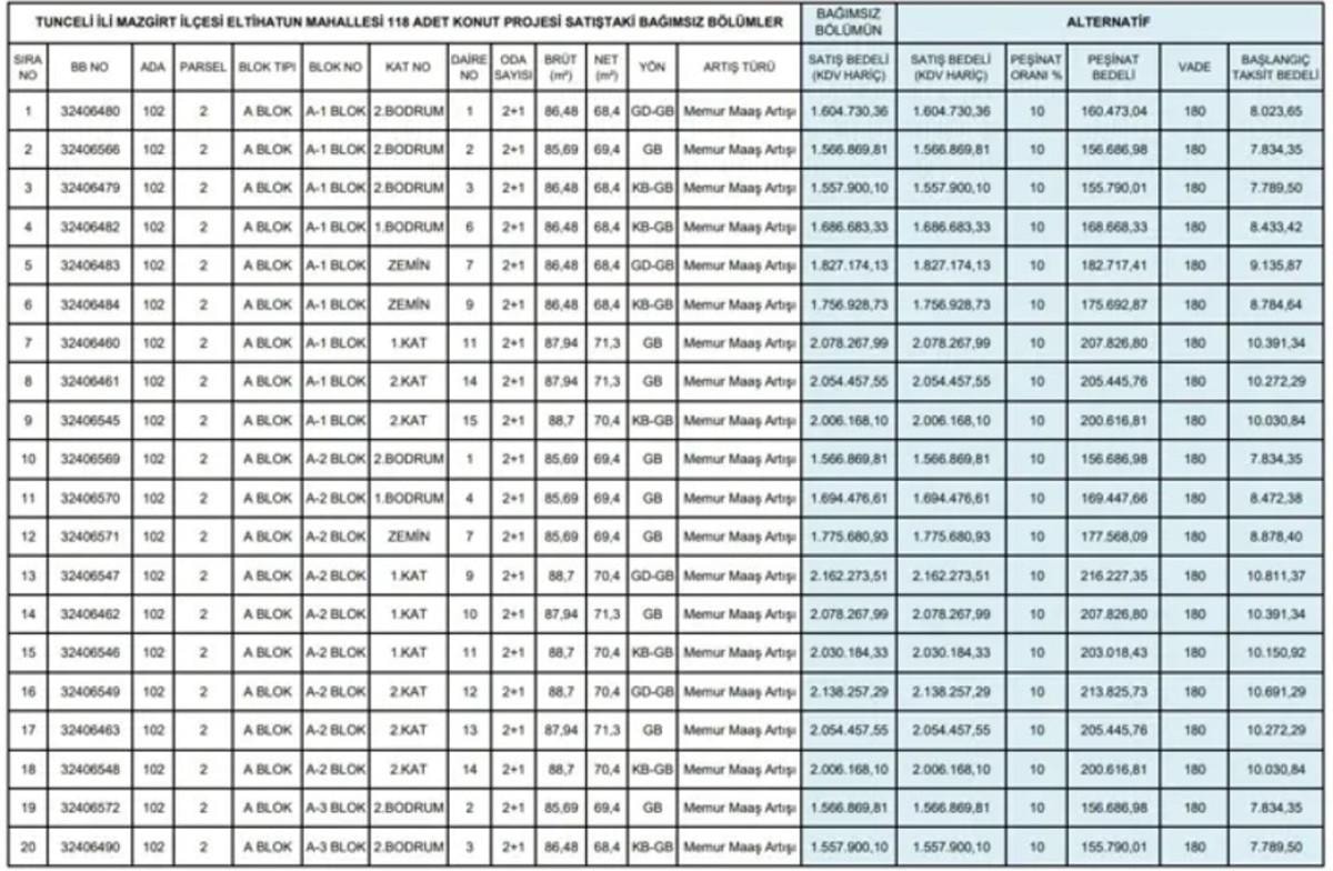
FİYAT LİSTESİ BELLİ OLDU
Tunceli’de hayata geçirilen TOKİ konut projesinde, 2+1 ve 3+1 dairelerin fiyat listesi belli oldu.
Dar ve orta gelirli vatandaşlar için hazırlanan bu projede, en uygun daire için peşinat bedeli 155.790,01 TL olarak belirlenirken, 180 ay vadeli ödeme seçeneğiyle aylık taksitler 7.789,50 TL’den başlıyor.

