- 2026-2028 yıllarını kapsayan Orta Vadeli Program (OVP), kamu kurum ve üniversitelerin bütçelerini belirledi.
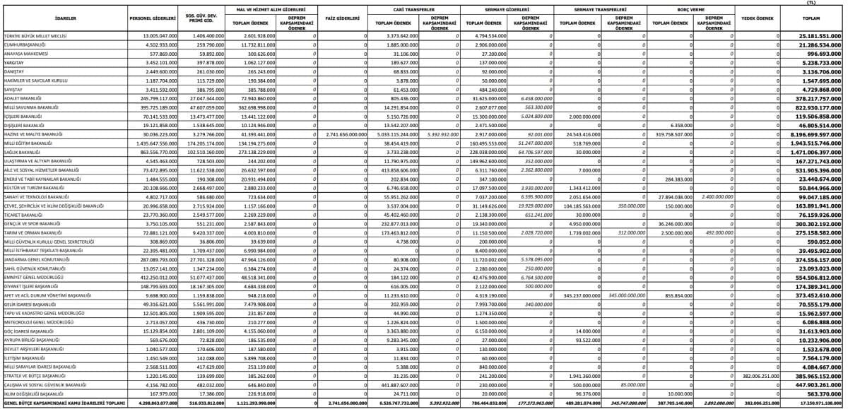
- Hazine ve Maliye Bakanlığı'na 8 trilyon 196 milyar 699 milyon 597 bin lira ödenek ayrıldı.
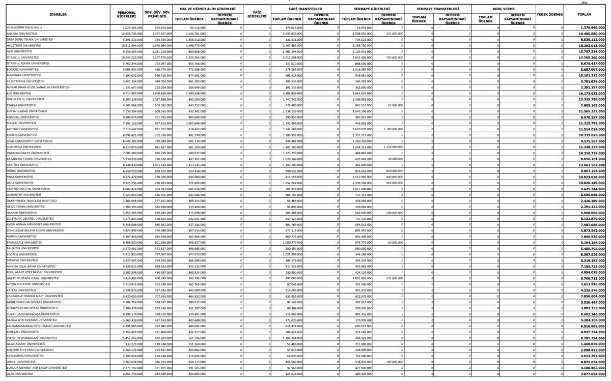
- Üniversiteler içinde Ankara Üniversitesi'ne 19 milyar 480 milyon 880 bin lira bütçe verildi.
Cumhurbaşkanı Yardımcısı Cevdet Yılmaz, Ankara'da 2026 ve 2028 yıllarını kapsayan Orta Vadeli Program'ın (OVP) sunumunu yaptı.
Yeni OVP, Resmi Gazete'de yayımlanarak kamuoyunun dikkatine sunuldu.
Programda makroekonomik verilerden büyüme, enflasyon, istihdam, ihracat, milli gelir ve cari açık hedefleri ve politikaları açıklandı.
MERKEZİ YÖNETİM BÜTÇESİ ÖDENEK TEKLİF TAVANLARI
OVP'de aynı zamanda Merkezi Yönetim Bütçesi (2026-2028) Ödenek Teklif Tavanları da açıklandı.
KAMU KURUMLARINDA EN BÜYÜK BÜTÇE HAZİNE'YE
8 trilyon 196 milyar 699 milyon 597 bin lira ile kamu kurumları arasından en büyük bütçe Hazine ve Maliye Bakanlığı'na ayrıldı.
Genel bütçe kapsamındaki kamu idareleri (1 sayılı cetvel) 2026 yılı bütçesi ödenek teklif tavanları şöyle belirlendi:


ÜNİVERSİTELER ARASINDA EN BÜYÜK BÜTÇE ANKARA ÜNİVERSİTESİ'NE
Üniversiteler arasında 19 milyar 480 milyon 880 bin lira ile en büyük bütçe Ankara Üniversitesi'ne ayrıldı.
Özel bütçeli idareler (2 sayılı cetvel) 2026 yılı bütçesi ödenek teklif tavanları şöyle açıklandı:



