Ölçme, Seçme ve Yerleştirme Merkezince (ÖSYM) Sağlık Bakanlığının sözleşmeli sağlık personeli alımına yönelik tercih işlemleri başladı.
ÖSYM'den yapılan açıklamaya göre, adaylar tercihlerini 8 Mayıs saat 23.59'a kadar yapabilecek.
Tercih işlemleri, KPSS-2025/4 Tercih Kılavuzu kurallarına göre ÖSYM'nin "https://ais.osym.gov.tr" adresinden T.C. kimlik numarası ve aday şifresi kullanılarak bireysel olarak yapılacak.
BİLGİLER RESMİ GAZETE'DE
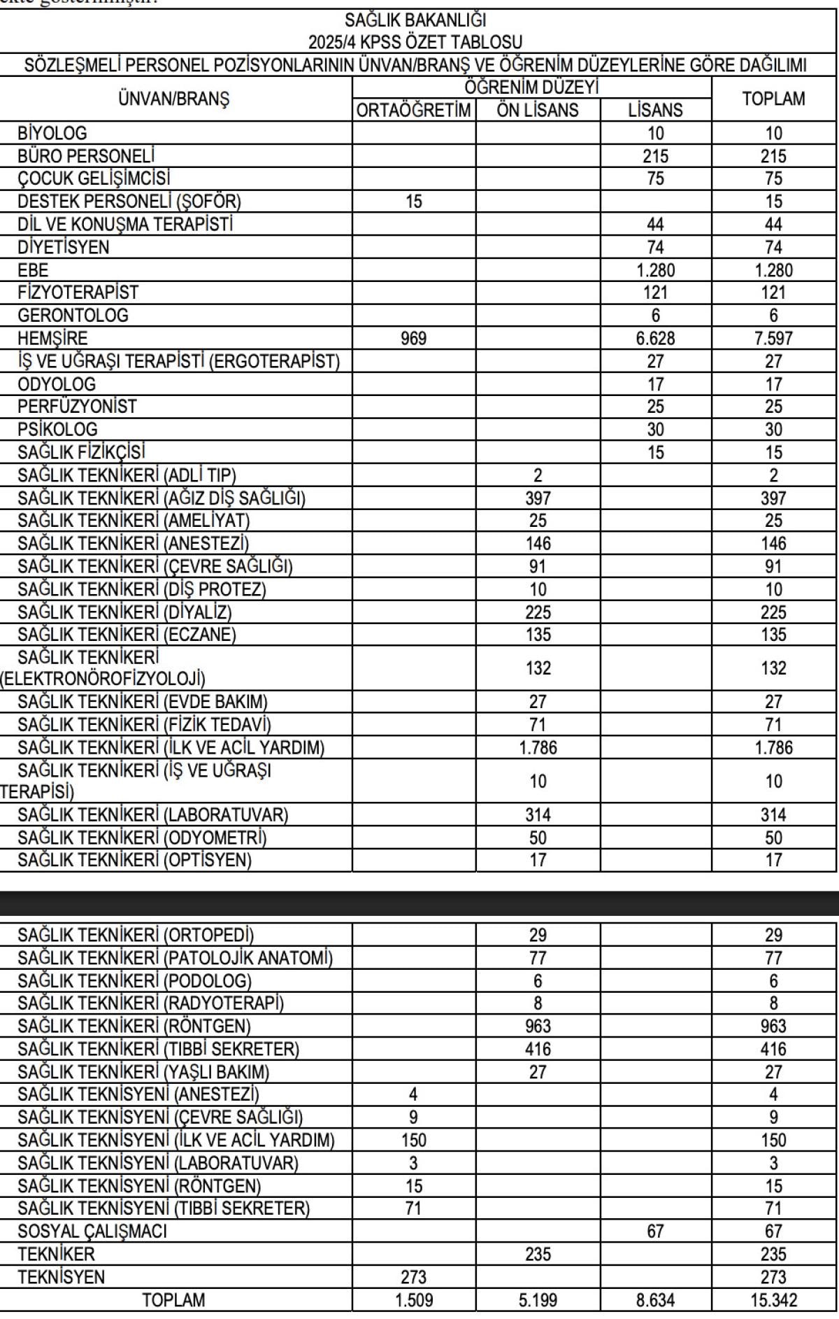
Sözleşmeli sağlık personeli pozisyonlarının ünvan, branş, sayı ve öğrenim düzeylerine göre dağılımlarına ilişkin detaylara Resmi Gazete'de yer alan ilandan ulaşılabiliyor.

SÜREKLİ İŞÇİ ALIMI
Sağlık Bakanlığı, merkez ve taşra teşkilatında istihdam edilmek üzere 3 bin 658 sürekli işçi alımı gerçekleştirecek. Buna göre, 3 bin 170 temizlik görevlisi, 240 güvenlik görevlisi (silahsız), 242 klinik destek elemanı (hastane) ve 6 aşçı istihdam edilecek.
