Türkiye ekonomisinin 3 yıllık hedef ve politikalarının yer aldığı Orta Vadeli Program'ın (OVP) onaylanmasına ilişkin Cumhurbaşkanı Kararı, Resmi Gazete'nin mükerrer sayısında yayınlandı.
Yayınlanan kararın kapsamında genel bütçe kapsamındaki kamu idarelerine verilecek üç yıllık bütçesi ödenek teklif tavanları da yer aldı.
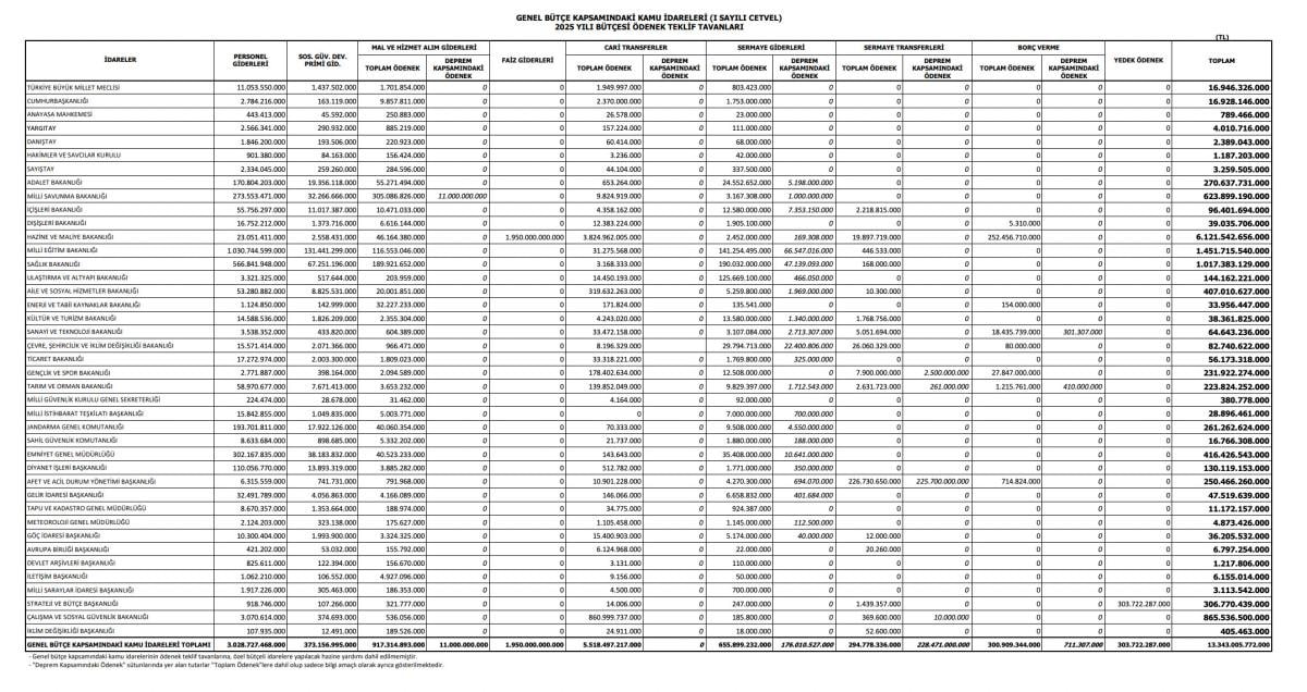
EN BÜYÜK BÜTÇE MALİYEYE
Buna göre, 2025 yılında kamu kurumları arasında en büyük bütçeyi toplam 6 trilyon 121 milyar 542 milyon 656 bin TL ile Hazine ve Maliye Bakanlığı aldı.
Bütçeden en büyük ikinci payı Milli Eğitim Bakanlığı ve üçüncü olarak da Sağlık Bakanlığı elde etti.

İDARELER VE TOPLAM ÖDENEKLER
Türkiye Büyük Millet Meclisi / 16 milyar 946 milyon 326 bin TL
Cumhurbaşkanlığı / 16 milyar 928 milyon 146.000 TL
Anayasa Mahkemesi / 789 milyon 466 bin TL
Yargıtay / 4 milyar 10 milyon 716 bin TL
Danıştay / 2 milyar 389 milyon 43 bin TL
Hakimler ve Savcılar Kurulu / 1 milyar 187 milyon 203 bin TL
Sayıştay / 3 milyar 259 milyon 505 bin TL
Adalet Bakanlığı / 270 milyar 637 milyon 731 bin TL
Milli Savunma Bakanlığı / 623 milyar 899 milyon 190 bin TL
İçişleri Bakanlığı / 96 milyar 401 milyon 694 bin TL
Dışişleri Bakanlığı / 39 milyar 35 milyon 706 bin TL
Hazine ve Maliye Bakanlığı / 6 trilyon 121 milyar 542 milyon 656. bin TL
Milli Eğitim Bakanlığı / 1 trilyon 451 milyar 715 milyon 540 bin TL
Sağlık Bakanlığı / 1 trilyon 17 milyar 383 milyon 129 bin TL
Ulaştırma ve Altyapı Bakanlığı / 144 milyar 162 milyon 221 bin TL
Aile ve Sosyal Hizmetler Bakanlığı /407 milyar 10 milyon 627 bin TL
Enerji ve Tabii Kaynaklar Bakanlığı / 33 milyar 956 milyon 447 bin TL
Kültür ve Turizm Bakanlığı / 38 milyar 361 milyon 825 bin TL
Sanayi ve Teknoloji Bakanlığı / 64 milyar 643 milyon 236 bin TL
Çevre, Şehircilik ve İklim Değişikliği Bakanlığı / 82 milyar 740 milyon 622 bin TL
Ticaret Bakanlığı / 56 milyar 173 milyon 318 bin TL
Gençlik ve Spor Bakanlığı / 231 milyar 922 milyon 274 bin TL
Tarım ve Orman Bakanlığı / 223 milyar 824 milyon 252 bin TL
Milli Güvenlik Kurulu Genel Sekreterliği / 380 milyon 778 bin TL
Milli İstihbarat Teşkilatı Başkanlığı / 28 milyar 896 milyon 461 bin TL
Jandarma Genel Komutanlığı / 261 milyar 262 milyon 624 bin TL
Sahil Güvenlik Komutanlığı / 16 milyar 766 milyon 308 bin TL
Emniyet Genel Müdürlüğü / 416 milyar 426 milyon 543 bin TL
Diyanet İşleri Başkanlığı / 130 milyar 119 milyon 153 bin TL
Afet Ve Acil Durum Yönetimi Başkanlığı / 250 milyar 466 milyon 260 bin TL
Gelir İdaresi Başkanlığı / 47 milyar 519 milyon 639 bin TL
Tapu Ve Kadastro Genel Müdürlüğü / 11 milyar 172 milyon 157 bin TL
Meteoroloji Genel Müdürlüğü / 4 milyar 873 milyon 426 bin TL
Göç İdaresi Başkanlığı / 36 milyar 205 milyon 532 bin TL
Avrupa Birliği Başkanlığı / 6 milyar 797 milyon 254 bin TL
Devlet Arşivleri Başkanlığı / 1 milyar 217 milyon 806. bin TL
İletişim Başkanlığı / 6 milyar 155 milyon 14 bin TL
Milli Saraylar İdaresi Başkanlığı / 3 milyar 113 milyon 542 bin TL
Strateji Ve Bütçe Başkanlığı / 306 milyar 770 milyon 439 bin TL
Çalışma Ve Sosyal Güvenlik Bakanlığı / 865 milyar 536 milyon 500 bin TL
İklim Değişikliği Başkanlığı / 405 milyon 463 bin TL
TOPLAM: 13 trilyon 343 milyar 5 milyon 772 bin TL
Resmi Gazete'de yayınlanan listelerin genel bütçe kapsamındaki kamu idarelerinin ödenek teklif tavanlarına, özel bütçeli idarelere yapılacak hazine yardımı dahil edilmediği ve "Deprem Kapsamındaki Ödenek" sütunlarında yer alan tutarların ise "Toplam Ödenek"lere dahil olup sadece bilgi amaçlı olarak ayrıca gösteriliği de not düşüldü.