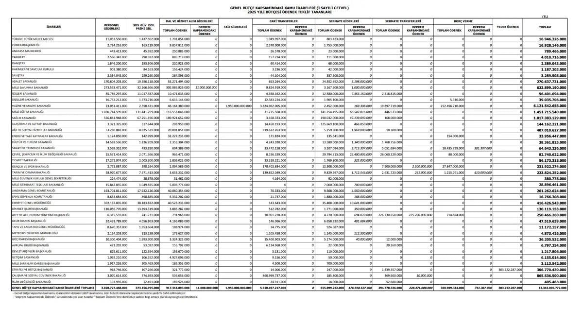
Orta Vadeli Program (OVP), Resmi Gazete'de yayınlandı. Buna göre, genel bütçe kapsamındaki kamu idarelerinin 2025 yılı ödenek teklifi tavanlarının toplamı 13 trilyon 343 milyar lirayı buldu.
Açıklanan ödenek tabanları incelendiğinde AFAD, 250 milyar 466 milyon lira ödenekle 10 bakanlığı geride bıraktı.
2025-2027 yıllarına ilişkin Orta Vadeli Program'dan yapılan derlemeye göre, Program'da genel bütçe kapsamındaki kamu idareleri ile özel bütçeli idarelerin 2025 yılı bütçe ödenek teklif tavanlarına da yer verildi.
Buna göre, genel bütçe kapsamındaki kamu idarelerinin, 2025 yılı ödenek teklifi tavanlarının toplamı 13 trilyon 343 milyar 5 milyon 772 bin lira oldu.
HAZİNE VE MALİYE BAKANLIĞI'NA 6.1 TRİLYON LİRA ÖDENEK
Çeşitli kamu kuruluşlarının bütçe açıklarının finansmanına dönük transfer ödeneği de buradan karşılandığı için Hazine ve Maliye Bakanlığı'na 6 trilyon 121 milyar 542 milyon 656 bin lira ödenek ayrıldı.
ÖDENEKTE MEB İKİNCİ VE SAĞLIK BAKANLIĞI ÜÇÜNCÜ
Milli Eğitim Bakanlığı (MEB) 1 trilyon 451 milyar 715 milyon 540 bin lirayla ikinci sırada yer alırken, bu kurumu 1 trilyon 17 milyar 383 milyon 129 bin lira ödenek tavanıyla Sağlık Bakanlığı izledi.
ÇALIŞMA VE SOSYAL GÜVENLİK BAKANLIĞI
Çalışma ve Sosyal Güvenlik Bakanlığına 865 milyar 536 milyon 500 bin lira, Milli Savunma Bakanlığına 623 milyar 899 milyon 190 bin lira ödenek tahsis edildi.
EMNİYET GENEL MÜDÜRLÜĞÜ
Emniyet Genel Müdürlüğü'nün ödeneği 416 milyar 426 milyon 543 bin lira, Aile ve Sosyal Hizmetler Bakanlığının ödeneği 407 milyar 10 milyon 627 bin lira, Strateji ve Bütçe Başkanlığının ödeneği 306 milyar 770 milyon 439 bin lira, Adalet Bakanlığının ödeneği de 270 milyar 637 milyon 731 bin lira oldu.

AFAD'IN ALDIĞI PAY
6 Şubat 2023'te meydana gelen Kahramanmaraş merkezli depremlerin ardından Afet ve Acil Durum Yönetimi Başkanlığına (AFAD) deprem harcamaları nedeniyle 2024'te 671 milyar 317 milyon 160 bin lira ödenek ayrılmıştı. 2025 yılı ödeneğinde bu yıla göre yarıdan fazla düşüş olsa da AFAD, 250 milyar 466 milyon 260 bin liralık kaynak ile aralarında Gençlik ve Spor Bakanlığı, Tarım ve Orman Bakanlığı, Ulaştırma ve Altyapı Bakanlığı ve İçişler Bakanlığının da olduğu 10 bakanlığı geride bıraktı.
EN DÜŞÜK ÖDENEK
En düşük ödenek teklif tavanı ise 380 milyon 778 bin lirayla Milli Güvenlik Kurulu Genel Sekreterliği için ayrıldı.
OVP'de özel bütçeli idarelerin 2025 yılı bütçesi ödenek teklif tavanları da yer aldı.
Buna göre, Karayolları Genel Müdürlüğüne 349 milyar 452 milyon 370 bin lira, Devlet Su İşleri Genel Müdürlüğüne 197 milyar 609 milyon 747 bin lira, Kentsel Dönüşüm Başkanlığına 136 milyar 557 milyon 896 bin lira, Türkiye Bilimsel ve Teknolojik Araştırma Kurumuna 46 milyar 163 milyon 803 bin lira, Orman Genel Müdürlüğüne 45 milyar 494 milyon 330 bin lira, Ceza İnfaz Kurumları ile Tutukevleri İş Yurtları Kurumuna 19 milyar 277 milyon 796 bin lira bütçe ödeneği ayrıldı.

ÖDENEK TEKLİF TAVANLARI
Genel bütçe kapsamındaki kamu idareleri için 2025 yılı bütçesi ödenek teklif tavanları şöyle:
Türkiye Büyük Millet Meclisi / 16 milyar 946 milyon 326 bin TL
Cumhurbaşkanlığı / 16 milyar 928 milyon 146.000 TL
Anayasa Mahkemesi / 789 milyon 466 bin TL
Yargıtay / 4 milyar 10 milyon 716 bin TL
Danıştay / 2 milyar 389 milyon 43 bin TL
Hakimler ve Savcılar Kurulu / 1 milyar 187 milyon 203 bin TL
Sayıştay / 3 milyar 259 milyon 505 bin TL
Adalet Bakanlığı / 270 milyar 637 milyon 731 bin TL
Milli Savunma Bakanlığı / 623 milyar 899 milyon 190 bin TL
İçişleri Bakanlığı / 96 milyar 401 milyon 694 bin TL
Dışişleri Bakanlığı / 39 milyar 35 milyon 706 bin TL
Hazine ve Maliye Bakanlığı / 6 trilyon 121 milyar 542 milyon 656. bin TL
Milli Eğitim Bakanlığı / 1 trilyon 451 milyar 715 milyon 540 bin TL
Sağlık Bakanlığı / 1 trilyon 17 milyar 383 milyon 129 bin TL
Ulaştırma ve Altyapı Bakanlığı / 144 milyar 162 milyon 221 bin TL
Aile ve Sosyal Hizmetler Bakanlığı /407 milyar 10 milyon 627 bin TL
Enerji ve Tabii Kaynaklar Bakanlığı / 33 milyar 956 milyon 447 bin TL
Kültür ve Turizm Bakanlığı / 38 milyar 361 milyon 825 bin TL
Sanayi ve Teknoloji Bakanlığı / 64 milyar 643 milyon 236 bin TL
Çevre, Şehircilik ve İklim Değişikliği Bakanlığı / 82 milyar 740 milyon 622 bin TL
Ticaret Bakanlığı / 56 milyar 173 milyon 318 bin TL
Gençlik ve Spor Bakanlığı / 231 milyar 922 milyon 274 bin TL
Tarım ve Orman Bakanlığı / 223 milyar 824 milyon 252 bin TL
Milli Güvenlik Kurulu Genel Sekreterliği / 380 milyon 778 bin TL
Milli İstihbarat Teşkilatı Başkanlığı / 28 milyar 896 milyon 461 bin TL
Jandarma Genel Komutanlığı / 261 milyar 262 milyon 624 bin TL
Sahil Güvenlik Komutanlığı / 16 milyar 766 milyon 308 bin TL
Emniyet Genel Müdürlüğü / 416 milyar 426 milyon 543 bin TL
Diyanet İşleri Başkanlığı / 130 milyar 119 milyon 153 bin TL
Afet Ve Acil Durum Yönetimi Başkanlığı / 250 milyar 466 milyon 260 bin TL
Gelir İdaresi Başkanlığı / 47 milyar 519 milyon 639 bin TL
Tapu Ve Kadastro Genel Müdürlüğü / 11 milyar 172 milyon 157 bin TL
Meteoroloji Genel Müdürlüğü / 4 milyar 873 milyon 426 bin TL
Göç İdaresi Başkanlığı / 36 milyar 205 milyon 532 bin TL
Avrupa Birliği Başkanlığı / 6 milyar 797 milyon 254 bin TL
Devlet Arşivleri Başkanlığı / 1 milyar 217 milyon 806. bin TL
İletişim Başkanlığı / 6 milyar 155 milyon 14 bin TL
Milli Saraylar İdaresi Başkanlığı / 3 milyar 113 milyon 542 bin TL
Strateji ve Bütçe Başkanlığı / 306 milyar 770 milyon 439 bin TL
Çalışma ve Sosyal Güvenlik Bakanlığı / 865 milyar 536 milyon 500 bin TL
İklim Değişikliği Başkanlığı / 405 milyon 463 bin TL